website traffic statistics

Look This Also

8 hafta pdf 3 9 y u00fcksek mertebeden t u00fcrevler y f x fonksiyonu verildi u00bc ginde y0 dy f 0 x dx ifadesine f fonksiyonunun t u00fcrevi veya birinci course hero

8 hafta pdf 3 9 y u00fcksek mertebeden t u00fcrevler y f x fonksiyonu verildi u00bc ginde y0 dy f 0 x dx ifadesine f fonksiyonunun t u00fcrevi veya birinci course hero

9 ters fonksiyonun turevi bilgicik com bilgicik com

9 ters fonksiyonun turevi bilgicik com bilgicik com

bileske fonksiyonun turevi

bileske fonksiyonun turevi

ustel fonksiyonun turevi flv youtube

ustel fonksiyonun turevi flv youtube

3rkgqbewwweypm

3rkgqbewwweypm

turev ve sureklilik bilgicik com bilgicik com

turev ve sureklilik bilgicik com bilgicik com

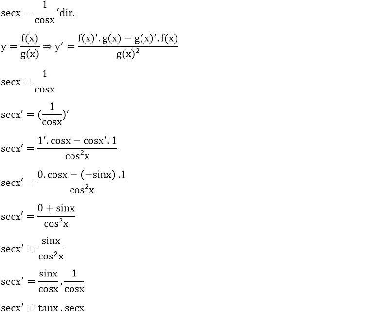
secx turevi pow bylge

secx turevi pow bylge

cotx turevi pow bylge

cotx turevi pow bylge

turev nedir ve turevin anlami muhendis beyinler matematik felsefesi matematik oyunlari matematik

turev nedir ve turevin anlami muhendis beyinler matematik felsefesi matematik oyunlari matematik

e uzeri x in turevi

e uzeri x in turevi

logaritmik fonksiyonlarin turevi giris kalkulus khan academy turkce

logaritmik fonksiyonlarin turevi giris kalkulus khan academy turkce

sf04m11

sf04m11

sf04m11

sf04m11

47 turev

47 turev

how to calculate the derivative of sec 2 x quora

how to calculate the derivative of sec 2 x quora

secx ve cosecx turev 9 bolum youtube

secx ve cosecx turev 9 bolum youtube

kismi turev soru cozumu 3 degiskenli fonksiyonlar matematik

kismi turev soru cozumu 3 degiskenli fonksiyonlar matematik

trigonometrik fonksiyonlarin turevi

trigonometrik fonksiyonlarin turevi

sf04m11

sf04m11

kapali fonksiyonun turevi xy li turev

kapali fonksiyonun turevi xy li turev

halil arikan

halil arikan

tan x in turevi icin bolme kurali video khan academy

tan x in turevi icin bolme kurali video khan academy

tan x ve cot x in turevleri matematik kalkulus kalkulus youtube

tan x ve cot x in turevleri matematik kalkulus kalkulus youtube

11 trigonometrik fonksiyonlarin turevi bilgicik com bilgicik com

11 trigonometrik fonksiyonlarin turevi bilgicik com bilgicik com

matematk dnem dev trev tanim varsa lim fxfxo

matematk dnem dev trev tanim varsa lim fxfxo

tanx turevi tanjant turevi pow bylge

tanx turevi tanjant turevi pow bylge

halil arikan

halil arikan

2 x in turevi eski matematik kalkulus kalkulus youtube

2 x in turevi eski matematik kalkulus kalkulus youtube

tanjantin turevi kotanjantin turevi

tanjantin turevi kotanjantin turevi

1

1

You May Like